A blog on some snippets of my work in bioinformatics. Hopefully you find something useful here and avoid stupid mistakes I made.
“cie la vie”
In the context of biomedical sciences, survival analysis is used to study the relationship between time and outcome. More broadly speaking, ‘How likely is a non-reversible process X to have happened within T time?’.
This process is usually presented using a Kaplan-Meier (KM) plot. This tutorial will cover plotting a KM plot programmatically on a synthetic dataset using the lifelines package in Python.
pip install lifelines
Import packages and initialise the Kaplan-Meier Fitter
import pandas as pd
import numpy as np
from lifelines import KaplanMeierFitter
from lifelines.statistics import logrank_test
import matplotlib.pyplot as plt
kmf = KaplanMeierFitter()
np.random.seed(42) #set a seed for reproducibility
Define patient and group functions
To begin with, define the studypatient class, with each patient carrying the status and group information.
class studypatient:
def __init__(self, group, status):
self.group = group
self.status = status
Let’s also define two functions, each for the gorup of ‘control’ and ‘sick’ patients.
For the control group, let’s say the probability of an event is a fixed 0.01 (1 in 100).
def controlgroup(nsize, totaltime) -> pd.DataFrame:
currenttime = 0
df = pd.DataFrame(columns=['time', 'event', 'group'])
groupname = 'control'
patients = [studypatient(groupname, 0) for _ in range(nsize)]
while currenttime < totaltime:
for _, patient in enumerate(patients):
if np.random.randint(1, 101) == 1: #hitting an event
if patient.status == 0: #check if patient have occured the event
patient.status = 1 #update patient status
df = df._append({'time': currenttime, 'event': patient.status, 'group': groupname}, ignore_index=True)
currenttime += 1
return df
For the sick group, let’s say the probability of an event is higher at 0.05 (1 in 20).
def sickgroup(nsize, totaltime):
currenttime = 0
df = pd.DataFrame(columns=['time', 'event', 'group'])
groupname = 'sick'
patients = [studypatient(groupname, 0) for _ in range(nsize)]
while currenttime < totaltime:
for _, patient in enumerate(patients):
if np.random.randint(1, 21) == 1: #hitting an event
if patient.status == 0: #check if patient have occured the event
patient.status = 1 #update patient status
df = df._append({'time': currenttime, 'event': patient.status, 'group': groupname}, ignore_index=True)
currenttime += 1
return df
Initilize the data in the groups
In this example, let’s do 100 patients in each group for 50 time units.
controldf = controlgroup(100, 50)
sickdf = sickgroup(100, 50)
df = pd.concat([controldf, sickdf])
df.head()
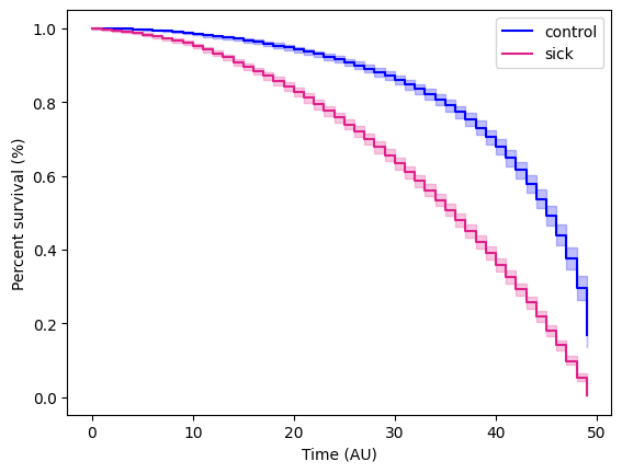
Plot the Kaplan-Meier plot
First we need to get the indexes and the vectors representing the time and event.
groups = df['group']
T = df['time']
E = df['event']
ix = (groups == 'control') #indexs for the control group
We then fit the control group plot first.
kmf.fit(T[ix], E[ix], label = 'control')
ax = kmf.plot_survival_function(color = 'blue') #blue for the control group
Followed by the sick group plot.
kmf.fit(T[~ix], E[~ix], label = 'sick') # the ~ here means negation, so NOT control group indexes
ax = kmf.plot_survival_function(color = '#E0218A') #lets do barbie pink
Optional: For better labelling. lifelines uses the matplotlib backend, so plt functions can be used as normal.
plt.ylabel("Percent survival (%)")
plt.xlabel("Time (AU)")
plt.show()

Statistical test
Once finishing the KM plot, we would want to run a statistical test to see if there is a statistical difference between the two groups. In this instance, we can do a log rank test.
First get the vectors for the two groups.
T_control, E_control = df.loc[ix, 'time'], df.loc[ix, 'event']
T_sick, E_sick = df.loc[~ix, 'time'], df.loc[~ix, 'event']
Then run the test.
logrank = logrank_test(T_control, T_sick, event_observed_A = E_control, event_observed_B = E_sick)
print(logrank.p_value, logrank.test_statistic)
will yield a p-value and test statistic of 5.3049732426876005e-180 and 818.4319348037003 respectively, this means that there are statistically significant difference between the control and sick group.